Udrani delovni valj
Od navadnega valja se razlikuje predvsem po tem, da ima prigrajeno predkomoro z velikim pretočnim prerezom, kar da gibajočim delom veliko hitrost in s tem veliko kinetično energijo. To energijo pretvarjamo v udarno energijo za opravljanje dela na kratki poti.

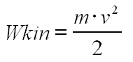
Wkin [ Nm ] kinetična energija gibajočih delov
m [ kg ] masa gibajočih delov
v [m/s ] hitrost gibajočih delov
Z regulacijo pritiska in pretoka zraka lahko točno nastavimo količino kinetične energije, ki je potrebna za tehnološko operacijo. Največjo hitrost – silo udarca dosežejo udarni valji pri 65 % hoda batnice.
- Gibajoči deli dosežejo hitrost 7,5 do 10 m/s, kinetična energija pa 25 do 500 Nm.
- Ko se batnica ustavi, je njegova sila odvisna samo od premera valja in tlaka.
- Udarni delovni valj uporabljamo za žigosanje, kovičenje, luknjanje , štancanje, ….
- Prednosti teh valjev so predvsem: majhna cena, nastavljanje kinetične energije, majhne dimenzije, velika zanesljivost delovanja, nezmožnost preobremenitve.