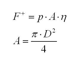
DIMENZIONIRANJE delovnih valjev
F+ [ N ] sila pri delovnem gibu
p [ Pa=N/m2 ] tlak
A [ m2 ] površina bata
n [ --- ] izkoristek delovnega valja
Porabo zraka se računa glede na normalno stanje, že preračunane vrednosti dobimo v tabeli.
